약력학(pharmaco/kinetics)은 약물이 신체에 작용하는 양상을 연구하는 학문이다. 약학대학에서는 전공과목으로 배우고, 의과대학 약리학 교육과정에서는 약력학의 핵심만 배운다.

약리 작용의 분류
- 흥분 (stimulation) : 약물에 의하여 조직, 장기의 고유 기능이 항진
- 억제 (inhibition) : 약물에 의하여 조직, 장기의 고유 기능이 저하
- 자극 (irritation) : 모든 조직, 장기에 공통적으로 존재하는 성분이나 성상에 변화가 일어났을 때
- 국소 작용 (local) : 약물을 투여한 부위에서 국소적으로 작용
- 전신 작용 (systemic) : 약물이 흡수된 후, 인체의 여러 조직, 장기에 작용
- 선택 작용 : 약물이 친화력을 가진 특정 조직, 장기에 가서 작용
- 일반 작용 : 모든 장기에 대하여 거의 같은 기전의 작용
- 직접 작용 : 약물이 직접적으로 특정 장기에 일으키는 작용
- 간접 작용 : 약물이 직접적으로 작용하지 않은 장기에서 나타나는 작용
ex. 강심제를 투여하면 신장 혈류량이 커져 배설량 역시 커진다.
치료 작용 vs 부작용
부작용은 치료 외 부수적인 작용들을 모두 이르는 말이므로 좋은 작용을 포함한다. 부작용 중에서 나쁜 것들이 약물 이상 반응, 독 작용, 유해 작용이다.
즉 부작용이 상위개념, 유해작용은 하위개념이다.
약물의 효과에 영향을 주는 요인
- 용량 (dose)
- 투여 시기 및 경로 (time, route) : 주사가 경구투여보다 효과가 크다.
- 위약효과 (placebo effect) : 믿음, 생각 때문에 발생하는 효과이다. 특히 정신과에서 빈번하며 플라시보 보정은 임상시험에서 중요하다.
- 내성 (tolerance)
- 유전적 요소
- 알레르기 : 특히 항생제에 아나필락시스, 발열, 발진 등이 발생한다.
독성과 특이체질, 알레르기의 차이
| 독성 | 특이체질 | 알레르기 | |
| 대상 및 빈도 | 모든 사람 | 유전적 차이 | 약물에 따름 |
| 유발 약물 | 모든 약물 | 일부 약물 | 대부분의 약물 |
| 약물 노출 경력 | 관련성 없음 | 필수적 | |
| 용량-반응 관계 | 고용량에서 | 용량 무관 | |
| 작용 기전 | 약물-수용체 상호작용 | 항원-항체 반응 | |
| 반응 | 약물의 고유 작용 | 항원-항체 반응 | |
| 반응의 길항 | 선택적 길항제 | 항히스타민제, 스테로이드, 에피네프린 등 | |
독성과 특이체질은 대상 및 빈도, 유발 약물을 제외하면 대체로 같은 양상이다. 특이체질과 알레르기의 비교를 숙지해둔다.
약물 반응의 다양성
- inter/individual variability : 개인 간 변이로, 약물에 대한 반응이 개체 간에 따라 다양하다.
- intra/individual variability : 개인 내 변이로, 한 개체에 대해서도 시기에 따라 약물 반응이 다르다.
개인 간 변이의 기전
1. 수용체에 도달하는 약물농도의 변화 : 약동학적 요소의 차이
2. 내인성 수용체 리간드 농도의 변이 : 약리학적 길항약 반응의 다양성에 주로 기여
3. 수용체 수 또는 기능의 변화
4. 수용체 이후 반응 요소들의 변화 : 세포 내 생화학적 과정, 장기와의 상호작용에 의한 생리적 조절과정 ~> 임상적으로 이 기전이 가장 중요하다.
암기 : 약물이 수용체에 도달하는 양, 수용체의 수와 기능, 수용체 이후의 반응 모두 개인마다 다를 것이다. 내인성 수용체 리간드는 아드레날린이나 호르몬 등 인체에서 만들어지는 물질을 말하는데 이 농도 역시 사람마다 다르다.
약리 작용의 원리
1. Agonist (효현제) : 수용체와 결합하여 조직 장기의 고유 작용을 나타내는 약물로, 완전 효현제 (Full agonist) 및 부분 효현제 (Partial agonist)로 세분화
2. Antagonist (길항제) : 주효 세포의 수용체와 결합은 하지만, 조직 장기 고유의 기능을 변동시키지 못하는 약물이다. 다만 효현제가 수용체와 결합하여 고유 작용을 나타내는 작용을 방해한다.
3. Agonist-antagonist (효현-길항제) : 수용체의 특정 아형에는 효현 작용, 특정 아형에는 길항 작용을 나타내는 약물
4. Inverse agonist (역 효현제) : 수용체와 결합하여 조직 장기 고유의 작용과 반대의 작용을 나타내는 약물
* 길항제만 투여하면 고유작용이 없다. 역 효현제는 그 자체만으로 효현제와 정반대의 작용을 나타낸다.
암기 : 주식시장을 연상한다. 효현제는 롱쟁이다. 길항제는 지수가 오르면 숏을 치고 보합하면 관망한다. 효현-길항제는 롱과 숏을 번갈아 친다. 역 효현제(inverse agonist)는 언제나 inverse를 사는 무지성 숏쟁이다. ~> 주식 매수자들은 언제나 숏을 치는 역 효현제를 역겹다고 할 것이다.

- 화학적 길항약 (Chemical antagonist) : 수용체와 결합하지 않고 단순한 화학적 반응에 의해 효능약의 작용을 길항한다.
ex. 양전하를 띠는 protamine이 음전하를 띠는 heparin과 결합하여 heparin의 작용을 방해
- 생리학적 길항약 (Physiologic antagonist) : 효능약과 생리학적으로 반대되는 작용기전에 의해 효능약의 작용을 길항한다.
ex. glucocorticoid의 혈당상승작용은 insulin의 혈당강하작용을 길항한다.
단순한 화학반응을 따르지 않으므로, 같은 수용체에 작용하는 일반적인 길항약과 달리 효과가 덜 특이적이고 조절이 용이하지 않다.
Tolerance (내성)
약물에 의한 효과, 효력이 약화되는 현상
- 선천성 (일차적) 내성 : 전혀 사용한 적이 없는 약물에 대하여 내성이 나타나는 경우
- 후천성 (이차적) 내성 : 어떤 약물을 반복 사용함으로서 그 약물에 대한 내성이 나타나는 경우이며, 약동학적 내성 (약물의 대사 효소 증가로 인한 내성)과 약력학적 내성 (세포 적응, 수용체 수 감소, 수용체 성상 변화 등)으로 분류
* 후천적 내성 중 약동학적 내성은 대사 관련, 약력학적 내성은 세포와 수용체 관련이다. 이는 약동학과 약력학의 연구 주제와 부합한다.
- 교차 내성 (cross tolerance) : 어떤 약물에 대하여 후천적 내성이 생겼을 때, 그 약물과 화학 구조 또는 작용이 비슷한 다른 약물에 대해서도 내성이 나타나는 경우 (ex. Morphine & Meperidine)
- 급성 내성 (tachy/phylaxis) : 매우 짧은 시간 안에 반응의 급격한 감소, 약물을 투여하는데 약물의 효과가 짧은 시간 안에 매우 빠르게 감소하는 현상 (ex. Amphetamine)

위 그림은 일반적인 내성(왼쪽)과 급성 내성(오른쪽)을 비교한 것이다. A의 경우 같은 효과를 얻기 위해 더 많은 농도를 투여했다. B는 더 많은 농도를 투여해도 점점 효과가 감소했다. 또한 C는 투여 횟수가 증가할수록 효과가 천천히 감소하지만 D는 급격히 감소한다.
약물상호작용
Drug-drug interaction(DDI)이라고 한다. 두 가지 이상의 약물을 동시에 투여했을 때, 각 약물의 효과(독성)가 더 강하게 or 약하게 나타나는 현상이다. 기전에 따라 약동학적 상호작용, 약력학적 상호작용으로 세분화된다.
- 상합작용 (Additivity) : 총 효과가 각 약물 작용의 산술적 합 (ex. Aspirin + Codeine)
- 상협작용 (Synergism) : 총 효과가 각 약물 작용의 산술적 합보다 큼 (ex. Epinephrine + Cocaine)
암기 : 상호 협력(상협)해서 시너지(synergism)가 생겼다. ~> 총 효과가 산술합보다 커졌다.
- 상승작용 : 특정 작용을 지닌 약물과 특정 작용이 없는 약물을 병용 투여 시, 특정 작용이 더 강하게 나타나는 경우 (ex. Fentanyl + Droperidol)
- 길항작용 (Antagonism) : 총 효과가 각 약물 작용의 산술적 합보다 작은 경우. 약리학적(경쟁적), 생리학적, 화학적 길항 작용으로 세분화
용량(농도)-반응 관계
Dose(Concentration)-Response relationship이다. 약물 반응은 투여한 약물의 용량(농도)에 따라 증가한다.
- 단계형 용량/농도 반응 : 약물 용량/농도에 따라 반응이 측정할 수 있는 값으로 변동 (ex. 혈압, 혈당)
- 실무형 용량/농도 반응 : All or none response, count/frequency type (ex. 설사 유무, 구토 빈도)
Drug Effect(E) 공식
Mass action law(질량 작용의 법칙)에 근거하여 특정 친화도를 보이는 두 분자 간의 결합을 반영한다.

E : drug effect; Emax = maximum effect; EC50 = 최고 효과의 50% 효과를 주는 농도; C: drug concentration
* 여기서 EC50은 농도 단위임에 주의한다.
위 식에서 C=0을 넣으면 E=0이다. C=EC50을 대입하면 효과는 최고 효과의 50%가 된다. C가 무한히 커지면 효과는 E_max에 수렴한다. 이러한 함숫값을 주는 hyperbolic function이다.
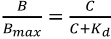
Concentration of the receptor binding to drug(B) 공식
수용체 점유 이론에 근거한 공식이다. 위의 drug effect 공식과 거의 비슷한 모양이다.

B : concentration of the receptor binding to drug; B_max = maximum concentration of the receptor which can bind to drug; K_d = the drug concentration at which drug-receptor binding reaches 50% of maximum; C : 약물 농도
* 보통 EC50은 K_d보다 작은 값이다. 약물이 수용체까지 닿으려면 거쳐야 하는 관문이 많기 때문에 50% 효과를 내려면 더 많이 넣어줘야 한다고 이해한다.
효력(Potency)과 효능(Efficacy)
위에서 다룬 그래프를 가지고 이제 효력과 효능을 정의한다. 효력은 EC50과 연관되고, 효능은 E_max와 연관된다. 즉 EC50이 낮으면 더 적은 약물로도 최고 효과의 50%에 도달할 수 있으므로 효력이 좋고, E_max가 높으면 최고 효과가 높으므로 효능이 좋다.


계수적 용량-효과 곡선 (Quantal dose-effect curves)
약물의 반응이 실무형일 경우, 즉 양자택일인 경우에는 연속변수로 그래프를 그릴 수 없다. (ex. 발작의 예방, 부정맥의 예방) 이때는 약물의 용량 또는 농도에 따라 해당 반응을 나타내는 대상자들의 빈도 또는 누적 빈도 분포의 관계를 분석한다. 전체 대상자들의 50%에서 특정한 실무형 반응을 나타내는 용량인 중간 유효 용량(ED50)의 결정에 많이 이용된다.

파란색 그래프는 치료 효과, 빨간색 그래프는 죽음 그래프이다. 파란색 그래프의 누적분율이 50%가 되는 지점이 ED50(중간 유효 용량 = '반수치료량'이라고 생각하기)이고, 빨간색 그래프의 누적분율이 50%가 되는 시점이 LD50(반수치사량)이다. 만약 ED50에서 한 방울만 더 주면 LD50이 되는 약물이 있다면 당연히 처방하기 위험할 것이다. 즉 ED50과 LD50의 차이는 클수록 안전하며, 그 비율을 치료지수(TI)라고 한다.
약물 용량 용어
- 최소 유효량 (Minimal effective dose) : 약리작용을 나타내기 위한 최소 용량
- 무효량 : mED 미만의 용량
- 최대 유효량 (Maximal effective dose) : 유의한 위해성이 없이 투여할 수 있는 최대 용량
* 즉 최대 유효량 미만의 값에서도 위해성이 나타날 수 있다.
- 중독량 (Toxic dose) : 독작용이 나타나는 용량
- 치사량 (Lethal dose) : 죽는 용량
- 치료 용량 (Therapeutic dose) : 최소 유효량과 최대 유효량 사이의 용량 범위
* 즉 mED<치료용량<MED
- 치료 지수 (Therapeutic index, TI) : 위에 언급했듯 약물의 안전 한계를 반영하며 값이 클수록 안전하다. 반수치사량을 반수유효량으로 나눠서 계산한다.

길항제
경쟁적 길항제 (Competitive antagonist)
농도가 높아짐에 따라 효능약의 EC50을 증가시키는 반면 E_max는 유지된다. 따라서 효능약의 농도가 충분히 높아지면 길항약으로 인한 효과의 감소를 극복 가능하다.

여기서 [I]는 concentration of competitive antagonist; K_i는 dissociation rate constant of competitive antagonist이다. 이 식은 경쟁적 길항제를 투여했을 때 EC50 자체가 커지는 양상을 보여준다. 즉 길항제 농도가 K_i와 같으면 EC50은 2배가 된다.(효력이 절반으로 감소) K_i이 작아지면 경쟁적 길항제의 효과가 높아진다.
암기 : 경쟁적 길항제는 약물에게 경쟁이라는 채찍질을 가한다. 채찍을 맞은 약물은 느리게 효과를 보이지만(EC50 증가) 결국 억까를 이겨내고 최댓값(E_max 일정)에 도달한다.
비경쟁적 길항제 (Noncompetitive antagonist)
대체로 수용체에 irreversible하게 결합하며 일부는 공유결합을 형성한다. 농도가 높아짐에 따라 효능약의 E_max를 감소시키고 EC50은 유지된다. E_max 자체가 감소하기 때문에 효능약의 농도가 충분히 높아지더라도 길항약으로 인한 효과의 감소를 극복할 수 없다.
* 다만 여분수용체(spare receptor)가 존재할 경우에는 효능약의 농도가 많이 높아지면 길항약으로 인한 효과의 감소를 극복할 수도 있다.

[I]는 concentration of noncompetitive antagonist; K_i는 dissociation rate constant of noncompetitive antagonist으로 schild formula랑 똑같다. 이 식은 비경쟁적 길항제를 투여했을 때 E_max 자체가 작아지는 양상을 보여준다. 길항제 농도가 K_i와 같으면 E_max는 절반이 된다.(효능이 절반으로 감소)
암기 : 비경쟁적 길항제는 지능적으로 약물을 저해한다. 경쟁할 필요가 없다고 약물을 꼬신다. 따라서 약물의 E_max 자체가 작아져서 그래프 자체가 낮아진다. 비폭력적 방법으로 나그네의 외투를 벗긴 햇살을 연상한다.

수용체 (receptor)
약물 분자와 결합하여 일련의 생리, 생화학적 반응을 일으키는 주효 세포(Effector cell)의 특정 성분/분자이다.
- 주효 세포 (Effector cell) : 약물 분자와 결합하여 고유의 약리 작용을 일으키는 조직 세포
- 결합 물질 (ligand) : 주효 세포의 거대 분자와 결합하는 물질이며, 약물과 endogenous 물질을 모두 포함하는 개념이다.
* 수용체와 약물 간에는 공유 결합, 이온 결합, 수소 결합, 반데르발스 결합(비극성) 등이 이루어진다.
- 고아 수용체 (Orphan receptor) : 수용체와 결합하는 내인성 ligand가 밝혀지지 않은 수용체
- 수용체를 경유하지 않는 약물 : 주로 화학적인 기전에 의해 작용한다. (ex. 제산제-위산, EDTA-납, 알코올, 계면활성제)
- 잉여(여분) 수용체 (Spare receptor) : 약물을 투여하여 최대의 효과가 나타났음에도 약물과 결합하지 않은 수용체이다. 잉여 수용체가 존재한다는 것은 일부 수용체만 약물과 결합되어도 최대 효과가 나온다는 것이다. 신호전달 과정에서 생화학적 요인들을 모두 고려하지 않아도 약물의 특정 용량에 의한 효과를 정확하게 예측할 수 있어 임상적으로 유용하다.

아까 나온 Concentration of the receptor binding to drug 공식의 양 변을 B_max로 나누기만 한 식이다.
- 제2 수용체 (Secondary receptor) : 약물과 결합은 하지만 아무 작용을 일으키지 않는 체내의 조직 또는 분자
암기 : 잉여 수용체는 약물이 최대 효과인데 미결합 상태이고, 제2 수용체는 결합했는데도 작용이 없는 상태다. 잉여 수용체의 존재는 임상적으로 유용하므로, 진짜 잉여는 ligand와 붙었으면서 아무 일도 안 하는 제2 수용체라고 할 수 있다.
수용체의 화학적 분류
조절단백질, 효소, 통로, 이온채널, 구조단백질, 핵산이 있다.
1. Regulatory protein (including G-protein coupled receptor)
2. Enzyme (ex. dihydrofolate reductase, 3-hydroxy-3-methylglutaryl-coenzyme A)
3. Transporter (ex. Na-K ATPase, dopamine transporter)
4. Ion channel (ex. chloride channel)
5. Structural protein (ex. tubulin)
6. Nucleic acid : within nucleus
작용기전에 따른 수용체 분류
1. G-protein-coupled receptors (GPCR, metabolic receptors) : 초 단위로 작용한다.(빠름)
ex. Muscarinic ACh receptor, Opioid receptor, 알파·베타 adrenergic receptors
2. Channel-linked receptors (ionotropic receptors) : 밀리초 단위로 작용한다.(아주 빠름)
임상에서 이용되는 많은 약물들이 ion channel에 작용한다. 리간드와 수용체의 결합으로 이온의 막전도도 증가, 막전위의 변화에 의해 세포막을 가로질러 신호를 전달한다. (ex. nicotinic ACh receptor, NMDA receptor, GABA_A receptor / 리간드는 neurotransmitters such as acetylcholine, serotonin, GABA and glutamate)
암기 : 전기생리학 시간에 channeled-linked receptors를 통해 나트륨 이온이 들어오고 칼륨 이온이 나가며 짧은 시간에 탈분극이 일어나던 모습을 연상한다.
3. Enzyme-linked receptors (ex. kinase-linked) : 시간 단위로 작용한다.(느림)
ex. epidermal GF receptor, Cytokine receptor
* 특히 cytokine receptor는 growth hormone, erythropoietin, several interferons, heterogenous peptides 등과 결합한다. 전반적으로 tyrosine kinase receptor와 유사하지만 수용체 내에 tyrosine kinase activity가 없다. Janus-kinase (JAK) 군에 속하는 별도의 protein tyrosine kinase가 receptor와 비공유 결합을 형성한다.
4. Nuclear receptors : 시간 단위로 작용한다.(느림) 핵 안에 존재한다. 인지질 이중층(지방)을 뚫으려면 지용성이 높은 약물(steroid 계열)이어야 할 것이다. 따라서 steroid receptors가 대표적 예시이다.
신호전달 기전

1. 막을 투과하여 세포 내에 존재하는 수용체와 작용하는 지용성 약물
약물 예시로는 steroids(glucocorticoids, mineralocorticoids, sex hormone, vitamin D), thyroid hormone이 있다. 수용체와 결합 후 target gene 근처에 있는 특이적인 DNA 서열에 결합하여 nucleus 안에서 gene transcription을 촉진한다.
암기 : 인지질 이중층을 투과하는 유일한 기전이므로 당연히 지용성 약물이어야 한다. 또는 분자량이 작은 thyroid hormone도 들어올 수 있다.
* 지용성 비타민 암기 : A, D, E, K (에이드 캬)
2. '막을 관통하는 수용체 단백질로서 세포 바깥에 존재하는 수용체 부위'에 결합하는 리간드에 의해 세포 내부의 효소 활성이 allosteric하게 조절
Tyrosine kinase receptor를 포함한 리간드조절 막관통효소를 활성한다. 구조상 세포 밖에서 호르몬과 결합하는 부위 + 세포질 효소 부위 (protein tyrosine kinase, serine kinase or guanylyl cyclase로 작용)로 구성된 polypeptide이다. 두 부위는 세포막의 지질 이중층에 존재하는 polypeptide의 hydrophilic portion에 의해 서로 화학적으로 연결되어 있다. 많은 면역억제제, 항암제들이 이 수용체에 의한 신호전달을 억제하는 기전으로 작용한다.
ex. receptor to insulin, epidermal growth factor (EGF), platelet-derived growth factor (PDGF), atrial natriuretic peptide (ANP), transforming growth factor-𝛽 (TGF-𝛽)
* allosteric은 다른 자리 입체성 조절이라는 뜻이며, 단백질 활성부위가 아닌 곳에 결합해서 활성한다는 뜻이다.
암기 : 종로에서 리간드 결합하고 한강에서 효소 활성시킨다.(종로에서 뺨맞고 한강에서 눈흘김)
3. 세포 내부에 존재하는 protein tyrosine kinase에 결합하여 이를 활성화시키는 transmembrane receptor
세포 밖에서 ligand와 결합하는 2와 다르게, 세포 안에서 PTK에 결합한다.
* 3은 2와 동떨어진 개념이 아니고, 2의 하위개념으로 볼 수 있다.
4. 리간드의 결합에 의해 열리거나 닫힐 수 있는 ligand-gated transmembrane ion channel
리간드가 결합해주면 바로 열린다.
5. GTP 결합에 의해 신호를 전달하는 G-protein을 활성화한 후 세포 내 제2전령물질의 생성을 조절하는 transmembrane receptor protein
- 많은 종류의 리간드들은 cyclic AMP, cGMP, 인지질, calcium ion, phosphoinositide 등과 같은 2차 전령물질 (secondary messenger)의 세포 내 농도를 증가시는 신호전달 기전을 가진다.
- 세포 외 리간드가 수용체에 의해 인지 ~> 수용체의 세포질 쪽에 위치한 GTP-binding protein의 activation ~> activated G protein은 특정 enzyme or effector의 activity를 변화 ~> 세포 내 2차 전령물질들의 농도를 변화 과정을 거친다.
- 즉 리간드만 결합하면 문을 열어서 작용하는 4보다는 깐깐한 신호 전달 과정이다. 제2 전령물질에는 아래 예시들이 있다.
1. Cyclic AMP (cyclic adenosine monophosphate)
2. Phospholipids & Ca2+
3. Cyclic GMP (cyclic guanosine monophosphate)
4. Inositol 1,4,5-triphosphate diacylglycerol
* Inositol 1,4,5-triphosphate diacyl/glycerol은 세포막에 존재하는 효소인 phospholipase C에 의해 phospholipids 중 하나인 phospha/tidy/linositol-4,5-bis/phosphate (PIP2)가 분해되어 생성된다.
'기초의학 > 약리학' 카테고리의 다른 글
| [약리학] 아드레날린성 약물 각론 (0) | 2025.10.26 |
|---|---|
| [약리학] 임상 약리학(clinical pharmacology) 핵심 정리 (0) | 2025.10.26 |
| [약리학] 약동학 핵심 정리 (0) | 2025.10.25 |
| [약리학] 서론 (세부분야 소개, 독약과 극약, 약품명, 약품의 분류, 마약류) (0) | 2025.10.22 |
| [약리학] 자율신경계 약물 총론 (0) | 2025.10.22 |